NYC DOT Sidewalk Violations, A Clear Guide to Repairs & Compliance

Worried man holding an NYC DOT sidewalk violation notice

If you own a property in New York City and got a notice about a damaged sidewalk, this page is for you. A broken sidewalk can mean fines, trouble selling or refinancing, and risk to anyone walking nearby. We explain what a New York City Department of Transportation (DOT) sidewalk violation is, why it matters, and how you can get it resolved easily with the right help. Eden Pro Contractors aim to make it clear, simple, and stress‑free.

We also show you how our company can handle the problem from start to finish. You do not have to worry about permits or confusing rules.

What Is a DOT Sidewalk Violation

A DOT sidewalk violation is a formal notice from the city. It says the sidewalk next to your building is unsafe. The notice may mention cracks, uneven slabs, slopes, broken concrete, sinking sections, or other hazards.

A violation means that sidewalk flags, the slabs of concrete that form the walking surface, are damaged or out of place. The city marks them as a “trip hazard” or “defect.” That puts responsibility on the property owner to fix.

A violation is more than cosmetic, it shows the sidewalk fails local safety standards. Fixing it restores safety for pedestrians and protects you from fines or future liability.

Need Help With Your Sidewalk Notice?

We can review your DOT violation and explain your next steps with clear guidance.

Who Must Fix the Sidewalk

Under city law, property owners must keep the sidewalk next to their building in safe shape. The relevant codes are New York City Administrative Code § 19‑152 and New York City Administrative Code § 7‑210.

That includes homeowners of 1‑3 family houses, apartment buildings, condos, and business properties. In most cases, even if you do not use the sidewalk daily, you are responsible.

There is one narrow exception. If the damage was caused by a city tree root and the tree belongs to the city, a special city‑help program might apply. But that rarely covers full repair. For most owners, the responsibility remains.

How DOT Sends a Violation Notice

DOT inspector examining a damaged sidewalk in New York City

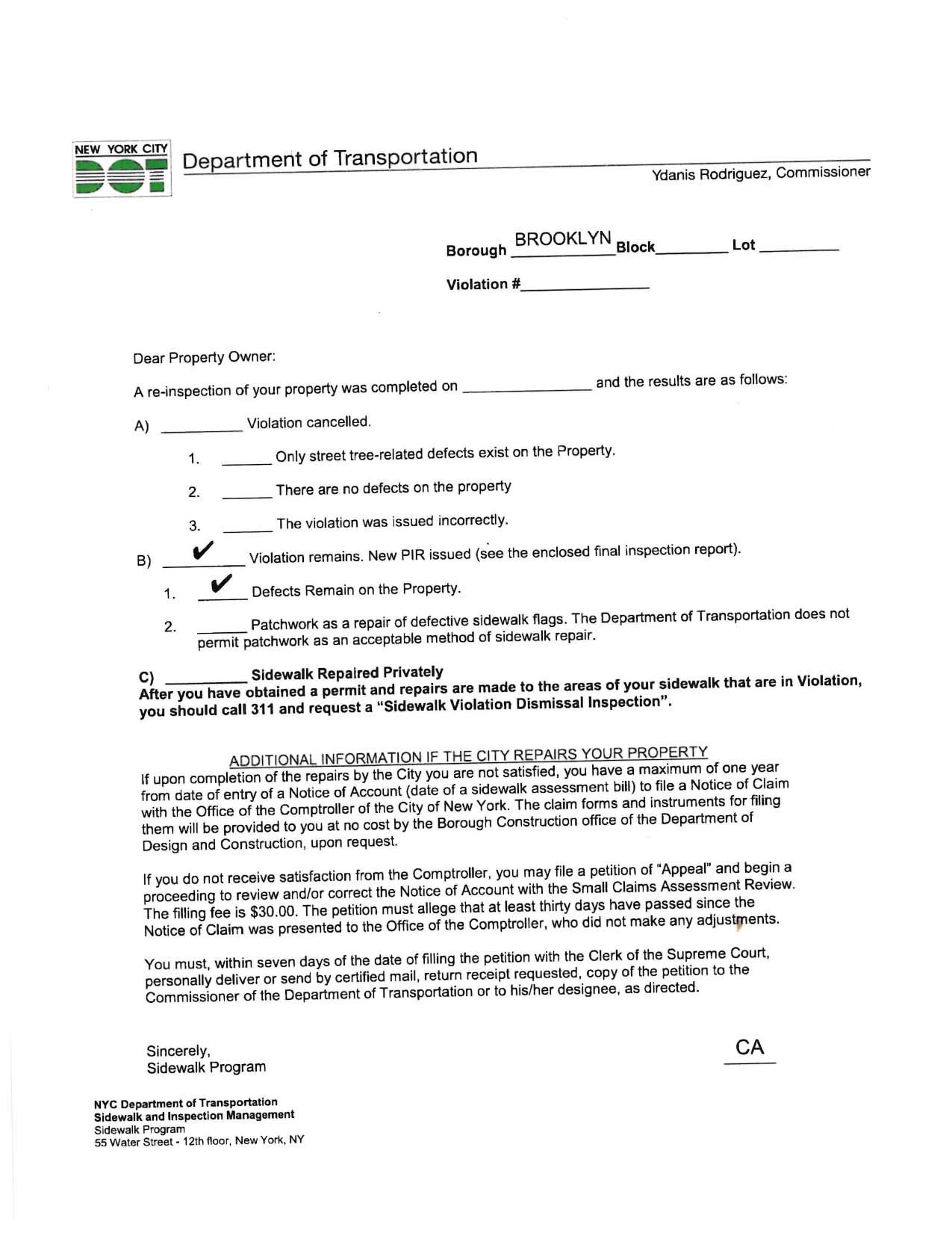
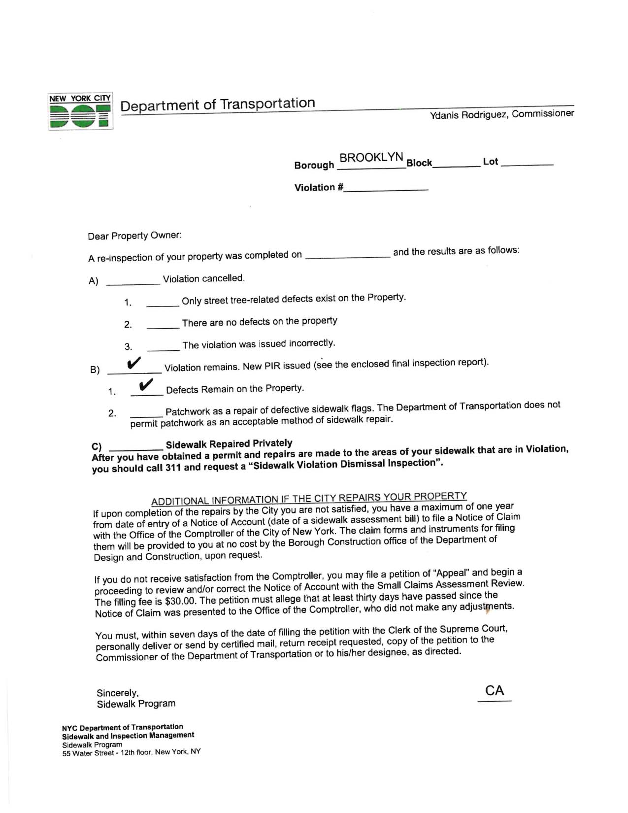
DOT may inspect sidewalks on a regular schedule, or after someone files a complaint, or following a hazard report. If DOT finds damage, they issue a “Notice of Sidewalk Violation.” Here is what happens next

  • The notice shows a sketch of the sidewalk slabs needing repair. It marks which slabs are unsafe.
  • DOT files the notice with the county clerk office and also sends it to you by mail or posts it near the sidewalk.
  • You usually get 75 days to make repairs from the notice or posting date.

The notice includes details like your address, date issued, slabs flagged, and instructions for repair.

What Happens If You Do Nothing

Ignoring a DOT violation can lead to several serious consequences. First, DOT may hire a contractor themselves to fix your sidewalk. Then they bill you for the work. The bill goes to the New York City Department of Finance If you still don’t pay, the city may place a lien on your property. That can block your ability to sell, refinance, or borrow against the property.

A lien may stay until you pay the city plus fees. Many lenders or buyers will refuse to move forward until the lien is cleared Besides financial risk, you leave your sidewalk unsafe. That increases your liability if someone trips or gets hurt near your property.

How to Fix a DOT Sidewalk Violation — Step by Step

Official NYC DOT sidewalk violation notice issued to a property owner

Fixing a sidewalk violation may seem overwhelming. But if you follow clear steps, it becomes simple and manageable. Below is how Eden Pro Contractors handle the process for you.

Step 1: Call us for a free inspection. We walk the sidewalk with you, check all slabs, and compare with the DOT sketch.

Step 2: We draft a plan showing exactly what needs repair or replacement.

Step 3: If required, we apply for the needed permit from DOT or local building department.

Step 4: We carry out the repair using quality concrete, correct slab dimensions, proper level grading, good drainage, and clean finishing. We respect both city rules and neighborhood appearance.

Step 5: After repair we help you schedule a “dismissal inspection” via 311 or DOT so the violation can be officially cleared.

Step 6: We hand over all paperwork, receipts, and inspection confirmation so you have a record.

With us managing every step, you avoid confusion about permits or compliance. You get a safe sidewalk and a clean record.

Common Roadblocks and How We Help

Repairing a sidewalk is not always easy. Here are common issues we handle for you

Permit delays. Sometimes DOT or local offices take time to issue permits. We track the process and follow up to keep things moving.

Cost surprises. Hidden damage under slabs can lead to extra cost. We provide transparent estimates and discuss possible surprises upfront.

Tree roots or old sidewalks. Roots or historic bricks complicate repair. We assess carefully and propose solutions like root guards or slab replacements.

Improper repairs by others. Some repairs patch rather than fully fix. That can cause repeated violations. We use proper concrete slabs and correct leveling so the fix lasts.

Inspection or paperwork mistakes. A small error can delay dismissal. We triple‑check all documents, coordinates with DOT, and make sure details are correct.

With our experience and care, we deal with these roadblocks so you do not worry about them.

Why Choose a Licensed Contractor (Like Us)

Fixing a sidewalk properly requires knowledge of DOT standards and building codes. Here is why working with Eden Pro Contractors makes sense:

  • We know local code and DOT specifications. We handle everything correctly.
  • We manage the permit process, scheduling, and city inspections.
  • We use quality concrete, proper slabs, and good finishing. We do not cut corners.
  • We give clear cost estimates, and we avoid hidden fees.
  • We keep all documentation ready, so you have clean records for future sale or insurance needs.

You get peace of mind and a safe sidewalk that meets city requirements.

Don’t Let a DOT Violation Stress You Out

Let Eden Pro Contractors handle inspections, permits, and repairs so you stay compliant.

What You Should Do Now

If you have a DOT sidewalk notice, the first step is simple. Walk the sidewalk with your notice sketch and compare slabs.

Then contact Eden Pro Contractors for a free inspection. We will look over the sidewalk, check what needs fixing, and explain next steps clearly.

If you agree, we will handle the permit, repair work, inspection scheduling, and paperwork.

Getting on it early can often save you from fines, liens, or sale trouble. A quick call can make the process smooth.

Our Promise to You

Homeowner shaking hands with contractor after finished sidewalk repairs in NYC

We aim to give you safe, code‑compliant sidewalks that meet DOT standards. We treat your property with respect, clean up after work, and make sure final inspection goes smoothly.

If you trust us, you avoid stress, paperwork, and mistakes. We deliver results that keep your property safe and marketable.

Contact us anytime to schedule a free consultation, get questions answered, or start the repair process.

Let us help you turn a DOT violation notice into a smooth, worry‑free fix.